Skip to main content
U.S. flag

An official website of the United States government

Here’s how you know

Dot gov

Official websites use .gov
A .gov website belongs to an official government organization in the United States.

HTTPS

Secure .gov websites use HTTPS
A lock (LockA locked padlock) or https:// means you’ve safely connected to the .gov website. Share sensitive information only on official, secure websites.

    • Environmental Topics
    • Air
    • Bed Bugs
    • Chemicals, Toxics, and Pesticide
    • Emergency Response
    • Environmental Information by Location
    • Health
    • Land, Waste, and Cleanup
    • Lead
    • Mold
    • Radon
    • Research
    • Science Topics
    • Water Topics
    • A-Z Topic Index
    • Laws & Regulations
    • By Business Sector
    • By Topic
    • Compliance
    • Enforcement
    • Guidance
    • Laws and Executive Orders
    • Regulations
    • Report a Violation
    • Environmental Violations
    • Fraud, Waste or Abuse
    • About EPA
    • Our Mission and What We Do
    • Headquarters Offices
    • Regional Offices
    • Labs and Research Centers
    • Planning, Budget, and Results
    • Organization Chart
    • EPA History

Breadcrumb

  1. Home
  2. Environmental Geophysics

Geomechanical (Engineering) Properties

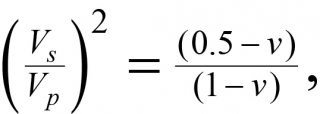
Seismic velocities can be related to standard geotechnical properties. For example, Poisson's ratio ν can be found from:

Poisson's ratio

(1)

Figures 1 and 2 show the S and P wave velocities of seismic waves for a number of different rock types.

S-wave velocity ranges
Figure 1.  S-wave velocity ranges for common materials.
P wave velocity ranges
Figure 2.  P wave velocity ranges for common materials.

The pages found under Properties are substantially based on a report produced by the United States Department of Transportation:

Wightman, W. E., Jalinoos, F., Sirles, P., and Hanna, K. (2003). "Application of Geophysical Methods to Highway Related Problems." Federal Highway Administration, Central Federal Lands Highway Division, Lakewood, CO, Publication No. FHWA-IF-04-021, September 2003.

Environmental Geophysics

  • About Environmental Geophysics
    • Frequent Questions
  • Tools
    • Decision Support
    • Geophysics Software Utilities
    • Forward Models
    • Inverse Models
  • Resources
    • Geophysical Methods
      • Borehole Geophysical Methods
      • Surface Geophysical Methods
      • Waterborne Geophysical Methods
    • Geophysical Properties
      • Dielectric Permittivity
      • Density
      • Porosity
      • Magnetic Susceptibility
      • Electrical Conductivity and Resistivity
      • Electromagnetic Properties
      • Electromagnetic Signal Attenuation
      • Seismic Velocities
      • Seismic Reflectivity
    • Geophysical References
    • Inversion
  • Publications
  • Related Links
Contact Us about Environmental Geophysics
Contact Us about Environmental Geophysics to ask a question, provide feedback, or report a problem.
Last updated on October 1, 2025
  • Assistance
  • Spanish
  • Arabic
  • Chinese (simplified)
  • Chinese (traditional)
  • French
  • Haitian Creole
  • Korean
  • Portuguese
  • Russian
  • Tagalog
  • Vietnamese
United States Environmental Protection Agency

Discover.

  • Accessibility Statement
  • Budget & Performance
  • Contracting
  • EPA www Web Snapshot
  • Grants
  • No FEAR Act Data
  • Plain Writing
  • Privacy and Security Notice

Connect.

  • Data
  • Inspector General
  • Jobs
  • Newsroom
  • Regulations.gov
  • Subscribe
  • USA.gov
  • White House

Ask.

  • Contact EPA
  • EPA Disclaimers
  • Hotlines
  • FOIA Requests
  • Frequent Questions
  • Site Feedback

Follow.